作者:N. Miyamoto 译者:流体空间
声明:本文是根据N. Miyamoto制作的技术手册翻译而成。转载请详细备明。

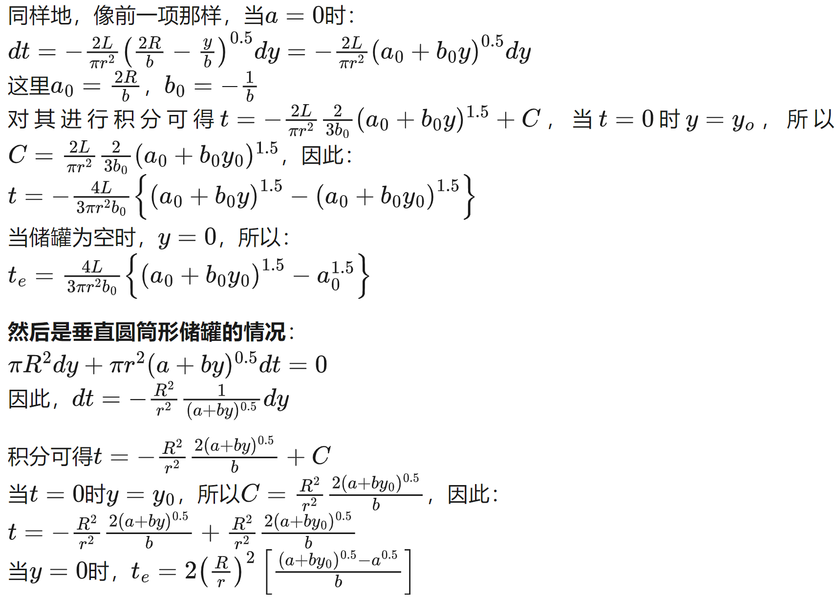
实际上,在排出储罐内液体时,会有多种流动现象发生。在多数情况下,这些现象可通过控制进行处理,因此通常考虑单纯的重力流排出过程即可。这种重力排出过程的推算方法早已为人熟知,但存在一些问题,例如在计算时不考虑内外压差,仅依靠液体自重流动,或者忽略排出配管的落差(高程差)等,这些简化条件导致计算结果与实际情况不符的情况屡见不鲜。不过,通过对排出配管的处理使其更接近实际情况,能在很大程度上改善计算结果。以下进行详细说明。
关于排出配管的说明(参考图1 ~ 3),由于液体排出过程是一个过渡变化(非定常变化)过程,存在区间变化,因此从理论上讲,应使用考虑区间流速变化惯性项的伯努利方程。然而,储罐表面积较大,且截止阀通常处于节流状态,所以即便将其按准定常状态处理,也不会出现较大偏差。因此,以下使用通常的伯努利方程。






关于模型化:在实际计算中,罐底板部分和内部结构的处理会成为问题。对于内部结构,需要根据具体情况每次进行考虑,而对于罐底板部分,取平均位置当作平盖来处理。另外,在图中所有情况都是将排液口设置在底部,但实际上,即使排液口在侧面,只要将该位置的液位视即可。只是对于流动阻力稍大的配管,需要相应地考虑其压力损失系数。配管的形状可以是任意的,但在处理分支/汇合情况时需要花费一些心思。
需要注意的是,在储罐的排空过程中,当液面下降到接近排空口直径大小时,会吸入空气,导致排空效果变差。由于这方面难以进行定量分析,所以在时间上要根据实际情况适当预留余量(如果储罐容量较大,则可以忽略这一影响)。
文章内容来源今日化题榜,流程工业整理编辑,责任编辑:胡静,审核人:李峥
版权声明∶转载流程工业网内容,请在正文上方注明来源和作者,且不得对内容作实质性改动;微信公众号、头条号等新媒体平台,转载请联系授权。邮箱∶process@vogel.com.cn,电话:16601379371(同微信)
评论
加载更多