正确了解闪蒸汽的知识,除了能更好区分疏水阀泄漏与正常闪蒸以外,还可以帮助用户在设计闪蒸汽和冷凝水回收时,能精确计算回收管道和闪蒸罐尺寸。
一、闪蒸汽是什么?怎样产生的?
闪蒸是指高压侧冷凝水,水温高于低压侧时的饱和温度,经突然降压变为低压后,有一部分水会汽化成蒸汽,称为闪蒸汽。
如果高压侧水的温度,低于低压侧水的饱和温度,就不会产生闪蒸汽。
正常有两个渠道产生闪蒸汽:
1、从回收冷凝水的集水罐(包括闪蒸罐)排出来的。
2、从对空排放的蒸汽疏水阀后排出来的,因为冷凝水通过疏水阀时,只要前端设备和管内不积水,通常上游温度都肯定高于后端低压水的温度,所以都会产生闪蒸汽。
但整个过程中,没有外来的热量,这些冷凝水是怎样变成蒸汽的呢?
原因请看以下举例:

5barg冷凝水饱和温度为159℃,具有的能量是671 KJ/kg,通过蒸汽疏水阀后压力为0 barg。
根据热力学第一定律,低压侧的冷凝水含有的能量与高压侧的能量必然相同,遵守能量守恒定律。
因此,低压侧的冷凝水的能量同样也是671 KJ/kg。
但是,0 barg的水中最多含有419kJ/kg热量,低压侧的能量就与高压侧不平衡,多出671-419 = 252 /kg。
这样对于水来说,就会产生过热。这些多出来的热量就会使部分冷凝水沸腾形成闪蒸蒸汽,这个沸腾的过程就叫闪蒸。
因此,原来存在于高压侧冷凝水中的能量,现在就存在于低压侧的水和蒸汽的混合物之中了。
再看另外一个例子:

5barg压力下的冷凝水,但是温度只有90℃,属于不饱和水,具有的能量只有377KJ/kg,小于大气压下饱和水的能量。
也就是说,没有多余的能量去产生闪蒸汽,经过疏水阀后仅仅是压力降低了而已,没有闪蒸汽。
如使用热静力疏水阀时,排出的通常是降温后的过冷冷凝水,闪蒸汽量是最少的。但由于积水带来的各种危害,一般只用在伴热管线上。
而浮球式疏水阀连续及时排水,排出的是饱和冷凝水,相对比热静力式闪蒸汽量会多些。
一般用在换热效率要求高,不允许积水的工况,或考虑做闪蒸汽回收的工况,应首选连续及时排水的浮球式结构。
值得注意的是,90℃对应的蒸汽压力为0.7bar,如果低压侧的压力低于0.7bar的绝对压力(真空),仍然会产生闪蒸汽。
换句话说,当热的冷凝水排放到低压的环境中,它的热焓(总热量)保持不变,但饱和温度降低(水的气态和液态共存的温度)。
为了保持总热量不变,部分的水吸收了热量蒸发成蒸汽。

二、水汽和闪蒸汽的区别
1、水汽:空气中的小水滴通常是白色的雾气。换句话说,水汽是漂浮在空气中的液态的水。
2、闪蒸汽:一种无色透明的气体,由液态的水通过吸收潜热转换成气态。与正常蒸汽没什么区别。
3、水汽为何从疏水阀喷出呢?
如果冷凝水拥有的热量比大气压下的饱和水的热量多,一部分从疏水阀排出的冷凝水在进入大气时将再次转换成蒸汽。
在冷凝水转换成蒸汽(闪蒸汽)的瞬间,在疏水阀出口处,肉眼就可以观察到蒸发形成的水汽。
尽管因排放温度的不同水汽的量也不尽相同,但高温冷凝水排放时总会伴随着部分水汽。
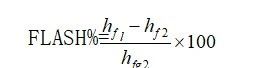
三、闪蒸汽的计算
hfl,即将水加热到该温度所需的能量值(显热hf);
hf2,即将水加热至低压侧压力相对应的沸点时所需能量值(显热hf)。
hfl-hf2的差值表示把冷凝水转变成一定比例低压蒸汽,如闪蒸汽时所需的能量;
hfg2,即低压侧压力相对应的沸水完全变成蒸汽需的能量值(潜热hfg)
hg=hf+hfg
高温冷凝水产生闪蒸汽的质量百分比可由下式计算:

闪蒸汽流量可由下式计算:

闪蒸量vs.凝结水量(以疏水阀前压力为4barg,冷凝水1000kg/h,后面对大气排放为例)

四、闪蒸汽量表
一定压降饱和温度冷凝水产生闪蒸汽的质量百分比(公制)

假若疏水阀前压力是8barg,疏水阀后直接对空排放(即阀后为0),查上表中得知,产生的闪蒸汽量为14.44%。
当疏水阀排出1000KG/H的冷凝水时,就会产生1000*14.44%=144.4KG的闪蒸汽量。
上表中设定冷凝水的温度与饱和蒸汽相同。若冷凝水的温度低于饱和蒸汽的温度,产生的闪蒸汽量将减少。
这种情况下,闪蒸汽的质量百分比,应根据上述介绍的相应公式进行计算。
文章内容来源马后炮化工,流程工业整理编辑,责任编辑:胡静,审核人:李峥
版权声明∶转载流程工业网内容,请在正文上方注明来源和作者,且不得对内容作实质性改动;微信公众号、头条号等新媒体平台,转载请联系授权。邮箱∶process@vogel.com.cn,电话:16601379371(同微信)
小张新入化工厂精馏车间,初次见到精馏塔的操作,不禁向身旁的老师傅提出了疑问:“您瞧,这精馏塔的塔釜将蒸汽辛苦蒸至塔顶后,为何又要让其回流呢?
2025-04-09 今日化题榜
前两天有个学弟请叫我硫化氢怎么分离,我查了查资料貌似都是用汽提工艺进行分离,然后我印象中汽提塔就是通过通入第三个组分蒸汽或者惰气来让轻组分进行分离的,但是具体原理记不清楚了,顺便查查资料,在这里总结一下。
2025-04-08 煤化工联盟
2026-05-09
2026-04-24
2026-05-09
2026-05-07
2026-05-06
2026-05-11
2026-04-23
工业是节能降碳的重点领域,也是实现“3060”碳达峰碳中和目标的关键。党的二十大报告明确提出,积极稳妥推进碳达峰碳中和,推进降碳、减污、扩绿、增长,完善能源消耗总量和强度调控,重点控制化石能源消费,逐步转向碳排放总量和强度“双控”制度。为了回顾 2023 年工业企业在节能降碳、绿色可持续发展方面的成就,了解当下的创新技术和应用,《流程工业》编辑部在 2024 年第一期特别策划了“工业碳中和”专题,邀请了一批国内外优秀的工业企业分享观点和产业实践,为广大的流程工业企业提供绿色可持续发展的启迪和借鉴。
作者:本刊编辑部
评论
加载更多