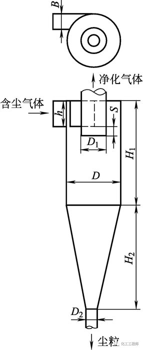
旋风分离器是从气流中分离出尘粒的离心沉降设备,因此,又称为旋风除尘器。
旋风分离器的工作原理是利用离心力将气固或液固混合物中的颗粒分离,通过切向引入气流形成高速旋转运动,使密度较大的颗粒或液滴在惯性离心力作用下甩向外壁面,从而实现分离。

其主体上部为圆筒形,下部为圆锥形。各部分尺寸比例见图注,可以得知,只要确定了圆筒直径,就可以按比例确定出其他各部分的尺寸。尺寸关系如下:
h=D/2、B=D/4、D1=D/2、H1=2D、H2=2D、S=D/8、D2=D/4

评价旋风分离器的主要指标是所能分离的最小颗粒直径——临界粒径和气体经过旋风分离器的压降。
1、临界粒径
临界粒径是指理论上能够完全被旋风分离器分离下来的最小颗粒直径,临界粒径dc可用下式计算:

式中 dc——临界粒径,m;
B——进口管宽度,m;
N——气体在旋风分离器中的旋转圈数,对标准型旋风分离器,可取N=5;
u——气体做螺旋运动的切向速度,通常可取气体在进口管中的流速,m/s。
从式中可以看出:
①临界粒径随气速增大而减小,表明气速增加,分离效率提高。但气速过大,会将已沉降颗粒卷起,反而降低分离效率,同时使流动阻力急剧上升。
②临界粒径随设备尺寸的减小而减小,因旋风分离器的各部分尺寸成一定比例,尺寸越小,则B越小,从而临界粒径越小,分离效率越高。
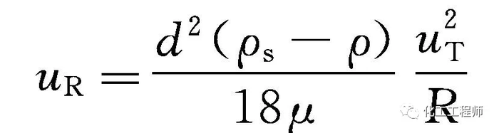
2、离心沉降速度
离心沉降是依靠惯性离心力的作用而实现的沉降。在重力沉降中,颗粒的重力沉降速度ut与颗粒的直径d及两相的密度差ρs-ρ有关,d越大,两相密度差越大,则ut越大。若d、ρs、ρ一定,则颗粒的重力沉降速度ut一定,换言之,对一定的非均相物系,其重力沉降速度是恒定的,无法改变其大小。因此,在分离要求较高时,用重力沉降就很难达到要求。此时,若采用离心沉降,则可大大提高沉降速度,使分离效率提高,设备尺寸减小。
当流体围绕某一中心轴做圆周运动时,便形成惯性离心力场。现对其中一个颗粒的受力与运动情况进行分析。设颗粒为球形颗粒,其直径为d,密度为ρs,旋转半径为R,圆周运动的线速度为uT,流体密度为ρ,且ρs>ρ。颗粒在圆周运动的径向上将受到三个力的作用,即惯性离心力、向心力和阻力。其中,惯性离心力方向从旋转中心指向外周,向心力的方向沿半径指向中心,阻力方向与颗粒运动方向相反,也沿半径指向中心。三个力的大小为:

式中 uR——径向上颗粒与流体的相对速度,m/s。
和重力沉降一样,在三力作用下,颗粒将沿径向发生沉降,其沉降速度即是颗粒与流体的相对速度uR。在三力平衡时,同样可导出其计算式,若沉降处于斯托克斯区,离心沉降速度的计算式为:

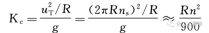
离心沉降速度与重力沉降速度计算式形式相同,只是将重力加速度g(重力场强度)换成了离心加速度uT2/R(离心力场强度)。但重力场强度g是恒定的,而离心力场强度uT2/R却随半径和切向速度而变,即可以人为控制和改变,这就是采用离心沉降的优点——选择合适的转速与半径,就能够根据分离要求完成分离任务。前面提及,离心沉降速度远大于重力沉降速度,其原因是离心力场强度远大于重力场强度。对于离心分离设备,通常用两者的比值来表示离心分离效果,称为离心分离因数,用Kc表示,即

式中,ns和n均表示转速,其单位分别为r/s(转/秒)和r/min(转/分)。
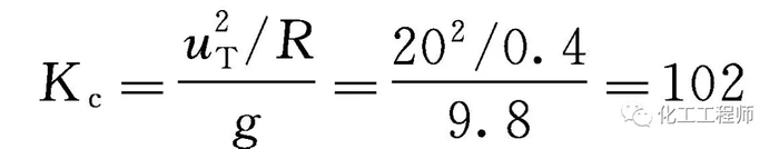
例如:旋转半径为0.4m,切向速度为20m/s,分离因素为:

要提高Kc,可通过增大半径R和转速ns来实现,但出于对设备强度、制造、操作等方面的考虑,实际上,通常采用提高转速并适当缩小半径的方法来获得较大的Kc。例如对R=0.2m的设备,当n=800r/min时,其Kc就可达到142,如有必要,还可以提高其转速。目前,超高速离心机的离心分离因数已经达到500000,甚至更高。尽管离心分离沉降速度大、分离效率高,但离心分离设备较重力沉降设备复杂,投资费用大,且需要消耗能量,操作严格而费用高。因此,综合考虑,不能认为对任何情况,采用离心沉降都优于重力沉降,例如,对分离要求不高或处理量较大的场合采用重力沉降更为经济合理,有时,先用重力沉降再进行离心分离也不失为一种行之有效的方法。
3、分离效率
1)总效率η0

式中,C进、C出为进出旋风分离器的含尘气体的质量浓度,g/m3。总效率并不能准确地代表旋风分离器的分离性能。因为气体中颗粒大小不等,各种颗粒被除下的比例也不相同。颗粒的尺寸越小,所受的离心力越小,沉降速度也越小,所以能被除下的比例也越小。因此,总效率相同的两台旋风分离器,其分离性能却可能相差很大,这是因为被分离的颗粒具有不同粒度分布。
2)粒级效率ηi

式中,Ci进、Ci出分别为进出旋风分离器气体中粒径为dpc的颗粒的质量浓度,g/m3。总效率与粒级效率的关系为:η0=∑xiηi式中,xi为进口气体中粒径为dpi颗粒的质量分数。通常将经过旋风分离器后能被除下50%的颗粒直径称为分割直径dpc,某些高效旋风分离器的分割直径可小至3~10μm。不同粒径dpi的粒级分离效率ηi不同,其与dpi/dpc的关系如图所示。

旋风分离器的粒径效率
4、压降
气体通过旋风分离器的压降可用下式计算:

式中,阻力系数ζ决定于旋风分离器的结构和各部分尺寸的比例,与筒体直径大小无关,一般由经验式计算或实验测取。对于标准型旋风分离器,可取ζ=8。旋风分离器压强降一般为500~2000Pa。压降大小是评价旋风分离器性能好坏的一个重要指标。受整个工艺过程对总压降的限制及节能降耗的需要,气体通过旋风分离器的压降应尽可能低。压降的大小除了与设备的结构有关外,主要决定于气体的速度。气体速度越小,压降越低,但气速过小,又会使分离效率降低,因而要选择适宜的气速以满足对分离效率和压降的要求。一般进口气速在10~25m/s为宜,最高不超过35m/s,同时压降应控制在2kPa以下。除了前面提到的标准型旋风分离器,还有一些其他型式的旋风分离器,如CLT、CLT/A、CLP/A、CLP/B以及扩散式旋风分离器,其结构及主要性能,读者可查阅有关资料。
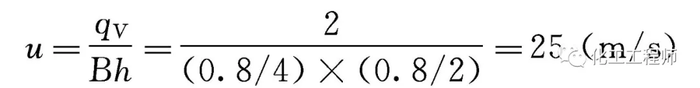
5、实例计算
用一筒体直径为0.8m的标准型旋风分离器处理从气流干燥器出来的含尘气体,含尘气体流量为2m3/s,气体密度为0.65kg/m3,黏度为3×10-5Pa·s,尘粒可视为球形,其密度为2500kg/m3。求:(1)临界粒径;(2)气体通过旋风分离器的压降。
解:(1)进口气速

临界直径

(2) 压降

文章内容来源化工工程师,流程工业整理编辑,责任编辑:胡静,审核人:李峥
版权声明∶转载流程工业网内容,请在正文上方注明来源和作者,且不得对内容作实质性改动;微信公众号、头条号等新媒体平台,转载请联系授权。邮箱∶process@vogel.com.cn,电话:16601379371(同微信)
近日,英格索兰公布了2025年第三季度的业绩,再次展示了我们业务的实力和韧性。尽管宏观环境充满挑战,我们仍通过利用强大的本地制造能力,投资推动长期增长的业务,实现持续增长。
2025-11-05
20年的转动不息,20年的初心如磐,旋转的每一圈,都舞出了清晰的轨迹,镌刻着 ABB 大电机与发电机20年来对工业艺术的极致追求。
2025-11-05
10 月 30 日,霍尼韦尔过程自动化集团代表团赴天津渤海化工集团交流,双方拟在数字化转型、新能源、碳资产管理等领域深化合作,助力渤化 “七新” 战略推进与化工产业绿色高质量发展。
2025-11-05
2026-05-09
2026-04-24
2026-05-09
2026-05-07
2026-05-06
2026-05-11
2026-04-23
工业是节能降碳的重点领域,也是实现“3060”碳达峰碳中和目标的关键。党的二十大报告明确提出,积极稳妥推进碳达峰碳中和,推进降碳、减污、扩绿、增长,完善能源消耗总量和强度调控,重点控制化石能源消费,逐步转向碳排放总量和强度“双控”制度。为了回顾 2023 年工业企业在节能降碳、绿色可持续发展方面的成就,了解当下的创新技术和应用,《流程工业》编辑部在 2024 年第一期特别策划了“工业碳中和”专题,邀请了一批国内外优秀的工业企业分享观点和产业实践,为广大的流程工业企业提供绿色可持续发展的启迪和借鉴。
作者:本刊编辑部
评论
加载更多