一、管道混合器的分类
管道混合器按喷嘴式、涡流式、多孔板或异形板式等混合方式分为喷射式管道混合器、涡流式管道混合器和静态管道混合器等。下面讨论一下静态混合器(Static Mixer)。
静态混合器是一种新型、高效的化工单元设备,适用于液与液,液与气,液与固,气与气的混合、乳化、中和、吸收、萃取、反应和强化传热等工艺过程,可在很宽的粘度范围内不同的流型(层流、过渡流、湍流)状态下应用,用于间歇操作和连续操作。
静态混合器选型一般取决于所用混合介质的物性(如粘度、颗粒大小、含固量、反应速度和工作温度压力等),选择的静态混合器类型应满足混合过程或反应过程中工艺的要求,混合单元结构不同,所产生的流体流动形态及性能也不同,选择时应考虑流体特征、要求的混合程度、压力降、直径、长度、剪切率、流体停留时间、滞留体积以及传热、传质等因素,另外还要考虑放大设计的可靠性、设备成本、操作费用和清洗能力等。
静态混合器的分类:
(1)螺旋型(Helical Type)
螺旋型管道混合器的优点是结构简单,无需外部动力,运行成本低。可选用不同材质(如不锈钢、PVC),耐腐蚀性强。
螺旋型管道混合器的缺点是压力损失较大,尤其是高流速时(约0.2~1.5 m水柱压降)。处理含有较高固体悬浮物的水时容易堵塞。
螺旋型管道混合器的适用水质为清水和低至中等浊度(<100 NTU)的原水、投加药剂后的混合水;适用管径为DN50~DN300,对于DN300以上的大管径,需要多个单元串联;适用流速为低至中等流速(<1.5 m/s),能有效增强湍流,提高混合效率。
(2)网格型(Grid Type)
网格型管道混合器的优点是混合效果较好,结构紧凑,相比螺旋式混合器,压降较小。
网格型管道混合器的缺点是对高流速、黏性液体混合效果较差,仍然可能出现堵塞问题,特别是处理含悬浮物较多的水。
网格型管道混合器的适用水质为清水、低浊度水、药剂投加后混合(如絮凝剂、pH调节);适用管径为DN50-DN500的中等管径系统;适用流速为低流速(<0.3 m/s)。
(3)多孔板型(Orifice Type)
多孔板型管道混合器的优点是结构简单,制造成本低。
多孔板型管道混合器的缺点是不能处理高含固废水,容易堵塞,可能对某些药剂(如高分子絮凝剂)造成破坏,影响水处理效果。
多孔板型管道混合器的适用水质为清水、低至中等浊度(<100 NTU)水、消毒剂投加后混合;适用管径DN100~DN800,适用于大管径管道混合;适用流速为高流速(1.5~3.0 m/s),能在短距离内实现良好的混合效果。

二、管道混合器的设计方法
管道混合器的设计涉及流体力学和传质原理,通常考虑雷诺数(Re)、压力损失(ΔP)、混合效率(混合长度 L)、流体剪切率等因素。
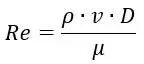
1.雷诺数计算Re
式中:
ρ 为水密度,kg/m³,浓度不太高的水可取ρ = 1000 kg/m³;
v 为管道内的流速,m/s;
D 为管道直径,m;
μ 为动力粘度,Pa·s,可取μ =0.001 Pa·s。
Re<2000:层流,依赖分子扩散,需要长混合距离L;
2000<Re<4000:过渡区,混合效率不稳定;
Re>4000:湍流,依赖涡流和剪切,提高混合效率。
2.混合长度计算L
混合长度是指流体达到均匀混合所需的最短距离,对于静态管道混合器可按下式计算。
式中:
N 为管道混合器内混合元件的单元数量,通常为6~12;
D 为管道直径,m。
3.混合不均匀度计算σ
对于层流状态,螺旋型管道混合器的混合不均匀度可按下式计算。
式中:
σ 为混合不均匀度(<0.1 视为良好混合);
σ₀ 为初始混合不均匀度,通常取σ₀ = 1;
k 为经验混合系数,对于螺旋式静态混合器,k 可取0.5∼0.7。
例如,流量为180m³/h,管径为DN150,则流速v = 2.83 m/s,取混合元件单元数量N = 5,则所需管道混合器长度为1.0 m。
计算雷诺数Re = 424500>4000,属于湍流,取混合系数k = 0.6,计算混合不均匀度为σ = 0.031<0.1,混合效果良好。
如混合元件单元数降低为N = 2,混合器长度降低为0.4 m,混合不均匀度为σ = 0.19>0.1,混合效果不好。可见混合器长度与元件数量是保证混合效果的关键。
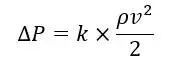
4.压力损失计算ΔP
对于螺旋管道混合器和网格管道混合器可按下式计算。
式中:
对于螺旋管道混合器k 可取5~8;
对于网格管道混合器k 可取4~6。
对于多孔板管道混合器可按下式计算。
式中:k 可取10~30。
按照上面示例,
如果选择螺旋管道混合器,压力损失为ΔP = 46.99~75.15 kPa;
如果选择网格管道混合器,压力损失为ΔP = 37.59~56.39 kPa;
如果选择多孔板管道混合器,压力损失为ΔP = 15.66~46.99 kPa。
由此可见,不同类型管道混合器的压力损失不同。
文章内容来源煤化工知库,流程工业整理编辑,责任编辑:胡静,审核人:李峥
版权声明∶转载流程工业网内容,请在正文上方注明来源和作者,且不得对内容作实质性改动;微信公众号、头条号等新媒体平台,转载请联系授权。邮箱∶process@vogel.com.cn,电话:16601379371(同微信)
精馏技术是工业主流传质分离方法,借反复气化冷凝实现混合物提纯,核心设备含精馏塔等,分添加物(共沸、萃取等)、复合(反应精馏等)、极端条件(分子、真空)三类,广泛用于制药、石化等领域。
2025-11-26 化工工程师
工艺流程图核心分为 PFD(工艺流程图)和 P&ID(工艺管道及仪表流程图),包含图形、标注、图例、标题栏四部分,明确设备、管道、阀门、仪表等的表示方法,设备布置图为辅助图纸,是化工设计、生产操作及检修的关键指导文件。
2025-11-25
2025-12-19
2025-12-17
2025-12-15
2025-12-19
2025-12-22
工业是节能降碳的重点领域,也是实现“3060”碳达峰碳中和目标的关键。党的二十大报告明确提出,积极稳妥推进碳达峰碳中和,推进降碳、减污、扩绿、增长,完善能源消耗总量和强度调控,重点控制化石能源消费,逐步转向碳排放总量和强度“双控”制度。为了回顾 2023 年工业企业在节能降碳、绿色可持续发展方面的成就,了解当下的创新技术和应用,《流程工业》编辑部在 2024 年第一期特别策划了“工业碳中和”专题,邀请了一批国内外优秀的工业企业分享观点和产业实践,为广大的流程工业企业提供绿色可持续发展的启迪和借鉴。
作者:本刊编辑部
评论
加载更多