作为工程师,我们通常将流体流动阻力分为两大类:沿程阻力和局部阻力。
沿程阻力 (Major Loss): 流体在一段长度为 $L$、直径恒定的直管中流动时,由于流体分子间的内摩擦(粘性)以及流体与管壁之间的摩擦而产生的阻力。
局部阻力 (Minor Loss): 流体流经阀门、弯头、三通、变径管等管件时,由于流动截面或流动方向的急剧变化,流体内部产生强烈的涡流和碰撞所引起的阻力。
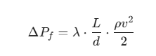
对于直管中的沿程阻力(压降),化工界最通用、最基础的计算公式是:
Δ Pf:沿程压降,单位 Pa
λ:摩擦系数(无量纲),它与流体的流动状态(雷诺数 Re)和管壁的相对粗糙度有关。
L:直管长度,单位 m
d:管道内径,单位 m
ρ:流体密度,单位 kg/m^3
v:流体平均流速,单位 m/s
工程洞察:
流速 v 也是决定性的(平方关系)。为了降低运行能耗(压降),我们总是倾向于适当增大管径 d 以降低流速 v,但这又会增加管道的初期采购成本。流体力学设计的本质,就是在这两者之间寻找最经济的平衡点。
假设我们要将常温水(密度 ρ = 1000 kg/m^3)从储罐泵送至反应器。
管路参数: 采用内径 d = 0.1 m (100 mm) 的不锈钢平直管道,总长度 L = 50 m。
运行参数: 设定的流速为 v = 2 m/s。
摩擦系数: 经查莫迪图或计算,假设该湍流状态下的摩擦系数 λ = 0.025。
计算沿程压降:
仅克服这 50 m 直管的摩擦,流体就会损失 25 kPa 的压力。如果系统中还有 5 个 90º 弯头和 1 个截止阀,我们还需要用类似的公式计算出局部阻力并叠加,最终得出输送泵所需的总扬程。
在实际管线中,管道永远不可能是完全笔直的。流体经过弯头、阀门时,会产生剧烈的流体分离和旋涡,消耗大量的机械能。这就是我们所说的局部阻力(Minor Loss)。
我们将使用阻力系数法来继续叠加计算。
局部阻力压降的经典计算公式为:
Δ Pm:局部压降,单位 Pa
ζ(Zeta):局部阻力系数(无量纲)。这是一个经验数值,取决于管件的几何形状。
ρv^2/2:流体的动压(Dynamic Pressure)。
在我们之前的计算中,流体为水(ρ = 1000 kg/m^3),流速 v = 2 m/s。
首先计算流体的动压:
在工程手册中,不同管件在完全湍流状态下的标准阻力系数如下:
标准 90º 弯头:流体方向急剧改变,产生外侧高压和内侧流体分离,ζ ≈ 0.75。
截止阀 (Globe Valve,全开状态):截止阀内部具有极度曲折的“S”型流道,流体必须经历两次90º 的急转弯。因此其阻力极大,ζ ≈ 6.0。
第一步:计算 5 个弯头的压降
第二步:计算 1 个截止阀的压降
第三步:汇总局部总阻力
第四步:计算系统总阻力(沿程 + 局部)
将我们上一轮计算出的 50 m 直管沿程阻力(25 kPa)加上现在的局部阻力:

通过这个计算,我们可以得出一个极其重要的工程直觉:管件的“杀伤力”惊人。
仅仅1个全开的截止阀(消耗了 12 kPa),它所产生的流体阻力,几乎等同于24米长的直线管道(25 kPa÷50m = 0.5 kPa/m, 12 kPa÷ 0.5 kPa/m = 24 m)。这也是为什么在长输管线或对压降敏感的泵送系统中,工程师通常会尽量避免使用截止阀,而是替换为阻力极小的闸阀(Gate Valve, ζ ≈ 0.2)或蝶阀(Butterfly Valve)。
文章内容来源化工工程师,流程工业整理编辑,责任编辑:胡静,审核人:李峥
本文系统梳理了以PTA、乙二醇、甲醇、PP/PE、PVC、原油、尿素等为核心的能化产业链图谱。详述了从原油、煤炭、天然气三大源头,到石脑油、烯烃、芳烃等中间物,再到聚酯、塑料、橡胶等终端产品的完整链条与工艺路径,并对各品种的市场结构、原料来源与下游应用进行了概述。
2026-03-20
二联件为过滤 + 减压阀,供干爽压缩空气,适配无油润滑场景;三联件多油雾器,供润滑空气,适配传统需油雾润滑设备。选型看元件是否自润滑、工况是否洁净,现代设备多用二联件,老设备 / 风动工具多用三联件。
2026-03-17 设备运维
机械密封泄漏主要分四大类:安装尺寸不准、清洁不到位等人为因素;泵窜动、振动、抽空等设备问题;介质含颗粒、结晶、腐蚀等工况问题;以及选型、配套、材质质量问题。可按泄漏现象快速判断并按工艺 — 设备 — 介质 — 零件顺序排查。
2026-03-13 设备运维
2026-04-08
2026-04-07
2026-04-24
2026-04-07
2026-04-13
2026-04-10
2026-04-07
工业是节能降碳的重点领域,也是实现“3060”碳达峰碳中和目标的关键。党的二十大报告明确提出,积极稳妥推进碳达峰碳中和,推进降碳、减污、扩绿、增长,完善能源消耗总量和强度调控,重点控制化石能源消费,逐步转向碳排放总量和强度“双控”制度。为了回顾 2023 年工业企业在节能降碳、绿色可持续发展方面的成就,了解当下的创新技术和应用,《流程工业》编辑部在 2024 年第一期特别策划了“工业碳中和”专题,邀请了一批国内外优秀的工业企业分享观点和产业实践,为广大的流程工业企业提供绿色可持续发展的启迪和借鉴。
作者:本刊编辑部
评论
加载更多